
Quyết định điều chỉnh tổng thể Quy hoạch 1/500 Dự án Đại Kim Định Công mở rộng
Ngày 26 tháng 11 năm 2018, UBND Thành Phố Hà Nội đã ra Quyết định số 6446?QĐ-UBND về việc phê duyệt đồ án Điều chỉnh tổng thể Quy Hoạch chi tiết mở rộng phía Bắc và Tây Bắc Khu đô thị mới Đại Kim – Định Công, tỷ lệ 1/500 (Gọi tắt là Dự án Đại Kim Định Công mở rộng).
Vị trí khu vực nghiên cứu:
Khu đất nghiên cứu điều chỉnh tổng thể Quy Hoạch chi tiết mở rộng phía Bắc và Tây Bắc khu đô thị mới Đại Kim – Định Công, tỷ lệ 1/500 thuộc địa bàn các phường Định Công và phường Đại Kim, quận Hoàng Mi, Thành phố Hà Nội.
Phạm vi ranh giới:
– Phía Bắc giáp đường vành đai 2,5;
– Phía Nam giáp sông Lừ và làng Đại Từ (phường Đại Kim – Quận Hoàng Mai);
– Phía Đông giáp sông Lừ;
– Phía Tây giáp sông Tô Lịch và thông Thượng (phường Định Công – Quận Hoàng Mai).
Quy mô nghiên cứu:
Diện tích đất nghiên cứu lập quy hoạch khoảng: 1.358.228 m2 (135,8ha)
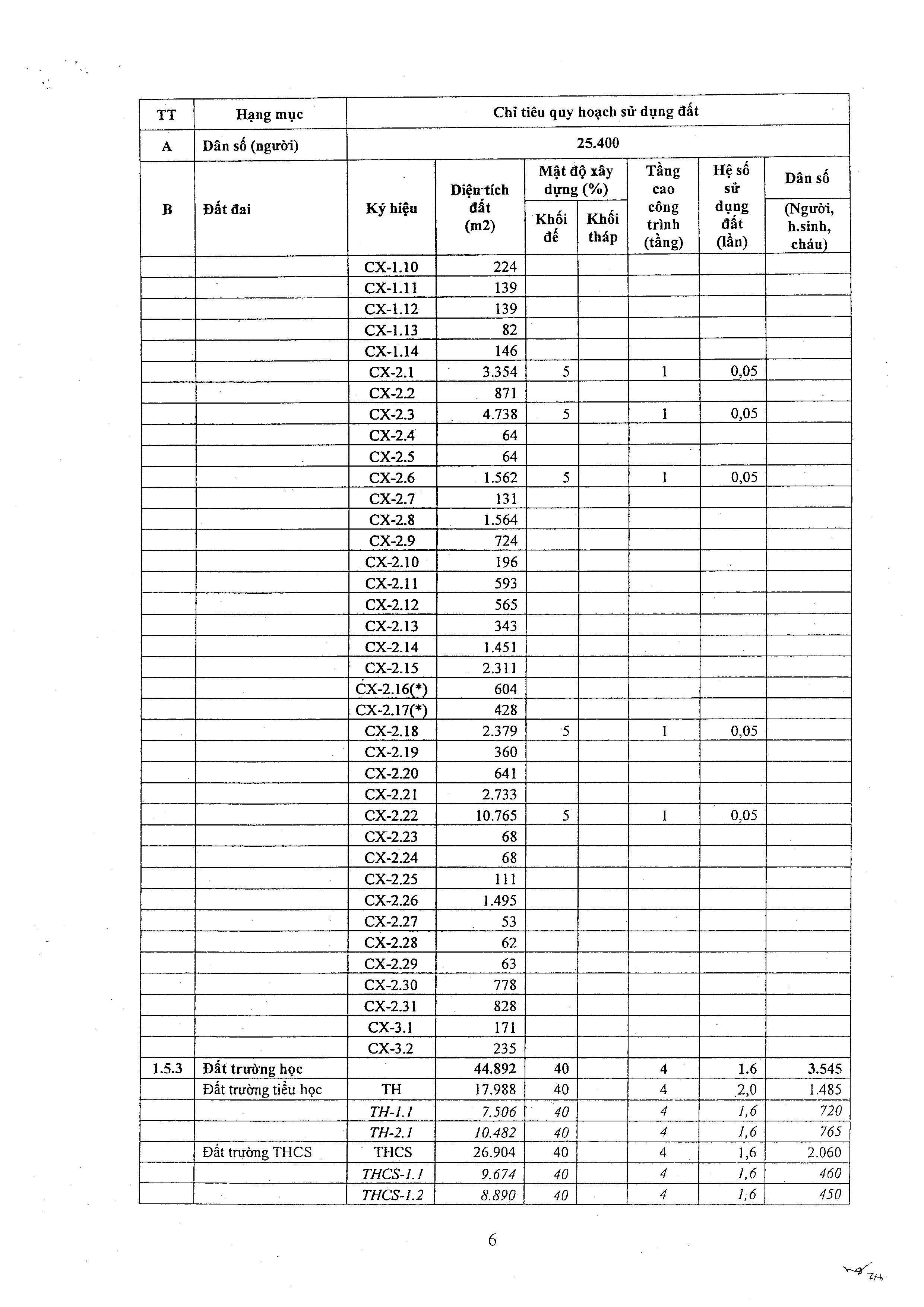
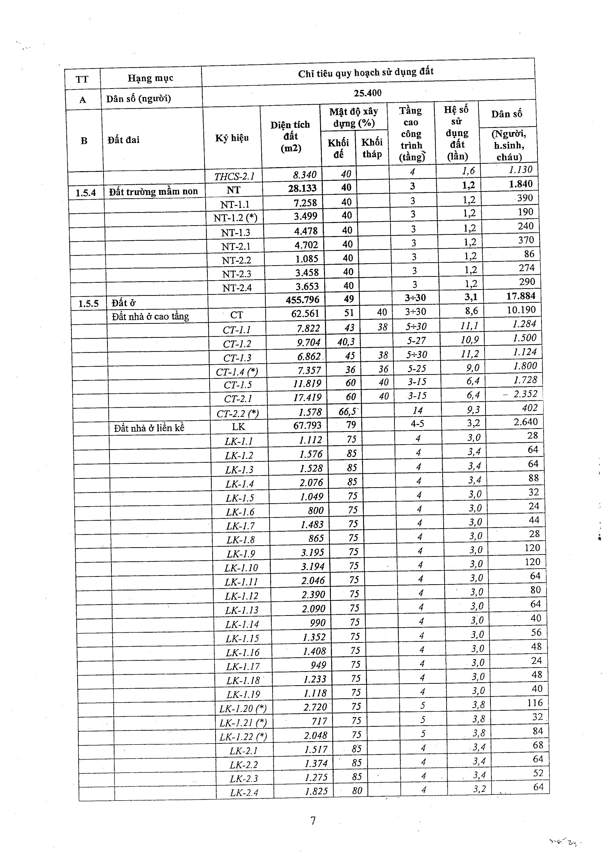
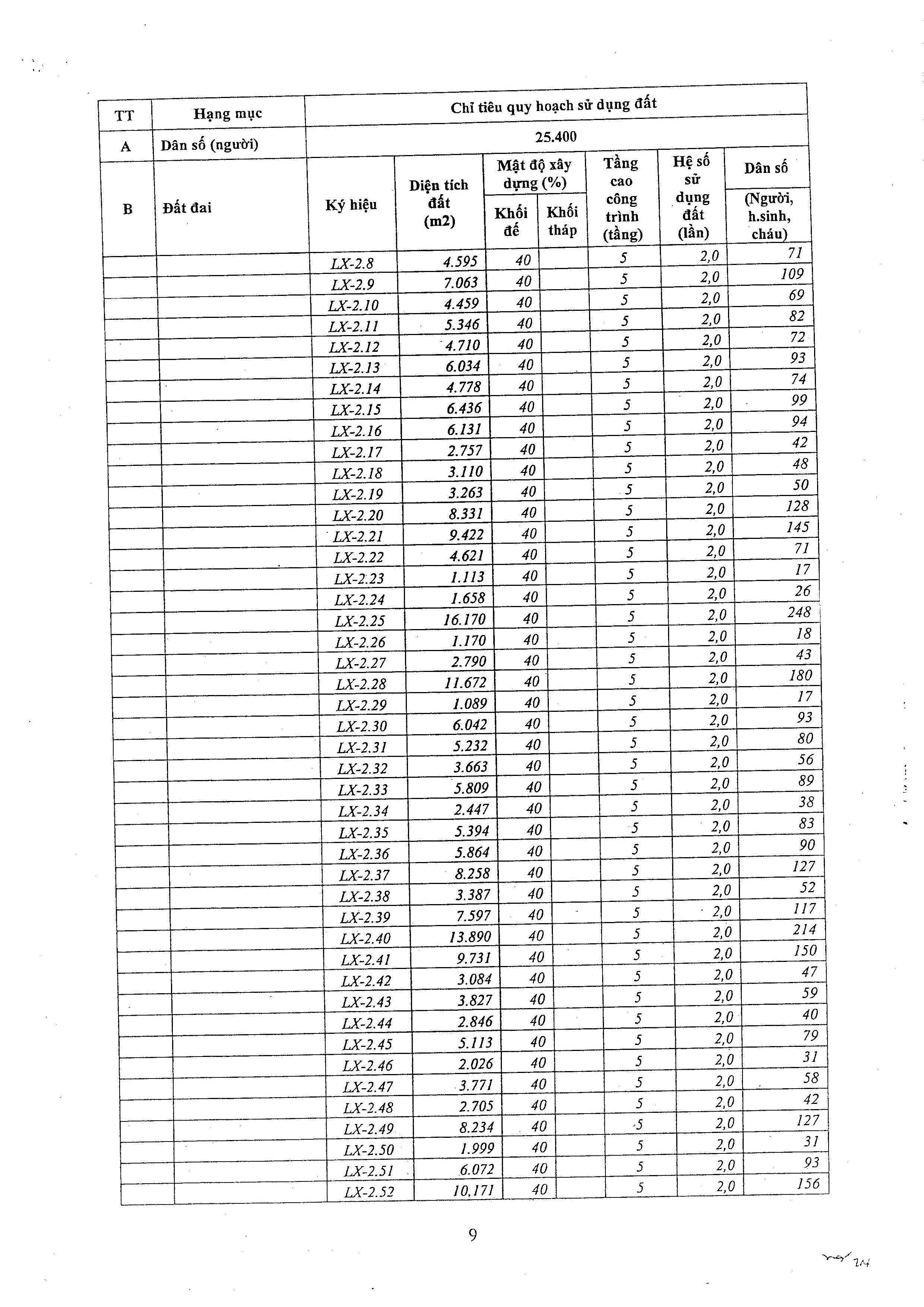
Dân số quy hoạch dự kiến khoảng 25.400 người.

Quy hoạch tổng thể mặt bằng sử dụng đất:
Các chỉ tiêu chính của đồ án:
– Tổng diện tích khu đất: 1.358.228 m2.
– Dân số: 25.400 người.
– Các chỉ tiêu sử dụng đất chính:
+ Đất công cộng hỗn hợp: 57.886 m2.
+ Đất cây xanh, mặt nước: 296.842 m2.
+ Đất trường THPT: 12.621 m2.
+ Đất đơn vị ở:
Đất trường mầm non, TH, THCS: 73.025 m2.
Đất công cộng: 20.147 m2.
Đất cây xanh 81.728 m2.
Đất ở: 455.796 m2.
Đất giao thông: 312.712 m2.
Tổ chức không gian kiến trúc cảnh quan:
Các công trình được bố trí thấp tầng, mật độ xây dựng thấp tại khu vực ven sông Tô Lịch để hài hòa với cảnh quan các khu vực xung quanh, các công trình cao tầng dọc trục đường 2,5 và trục chính của khu vực nghiên cứu tạo trục cảnh quan chính và điểm nhấn cho đô thị.
Giáp trục đường vành đai 2.5 khu vực nghiên cứu bố trí công trình cao tầng nhắm khai thác điểm nhấn cho tuyến đường, đồng thời cũng gắn kết với các công trình hỗn hợp cao tầng được định hướng theo quy hoạch phân khi đô thị H2-3. Khuc vực cao tầng được bố trí các tòa nhà với chiều cao giảm dần từ ngoài mặt đường vành đai 2.5 đến phí sông Tô Lịch.
Khu nhà ở liền kề, biệt thự được tổ chức với mật độ thấp dần về phía sông Tô Lịch và khu cây xanh khu vực, đảm bảo sự lưu thông không khí trong lành từ các yếu tố thiên nhiên tới toàn bộ dân cư.
Cụm các công trình công cộng hạ tầng xã hội: trường học, nhà trẻ, nhà văn hóa, cây xanh được bố trí thành một quần thể nằm giữa đơn vị ở, nhóm ở đảm bảo bán kính phục vụ.
Ngày 25/01/2019 vừa qua, sở Quy hoạch – Kiến trúc Hà Nội đã kết hợp với UBND quận Hoàng Mai cùng với chủ đầu tư Công ty TNHH xây dựng công trình Hoàng Hà đã tổ chức lễ công bố Quy hoạch tại hội trường UBND quận Hoàng Mai. Đến dự có đầy đủ ban ngành và cán bộ các sở.



















Để nhận thêm thông tin và tư vấn chuyên sâu, vui lòng liên hệ trực tiếp:
Nhận Bảng Giá & Liên Hệ Ngay